Официальное опубликование правовых актов
ОФИЦИАЛЬНОЕ ОПУБЛИКОВАНИЕ
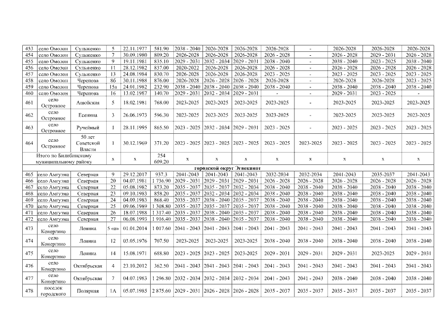
Постановление Правительства Чукотского автономного округа от 29.12.2022 № 669
"О внесении изменений в Постановление Правительства Чукотского автономного округа от 25 ноября 2014 года № 555"
Номер опубликования: 8700202212300001
Дата опубликования: 30.12.2022
Страница №31 из 48:
Увеличить