Официальное опубликование правовых актов
ОФИЦИАЛЬНОЕ ОПУБЛИКОВАНИЕ
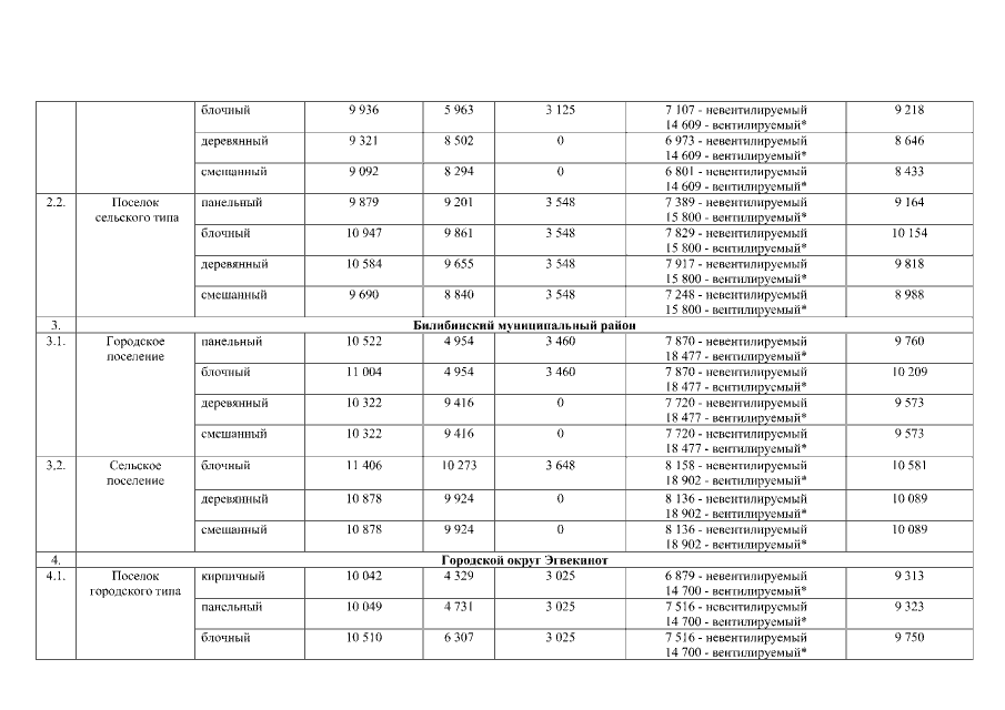
Постановление Правительства Чукотского автономного округа от 25.08.2022 № 427
"О внесении изменения в Постановление Правительства Чукотского автономного округа от 17 июня 2020 года № 288"
Номер опубликования: 8700202208250002
Дата опубликования: 25.08.2022
Страница №3 из 4:
Увеличить