Официальное опубликование правовых актов
ОФИЦИАЛЬНОЕ ОПУБЛИКОВАНИЕ
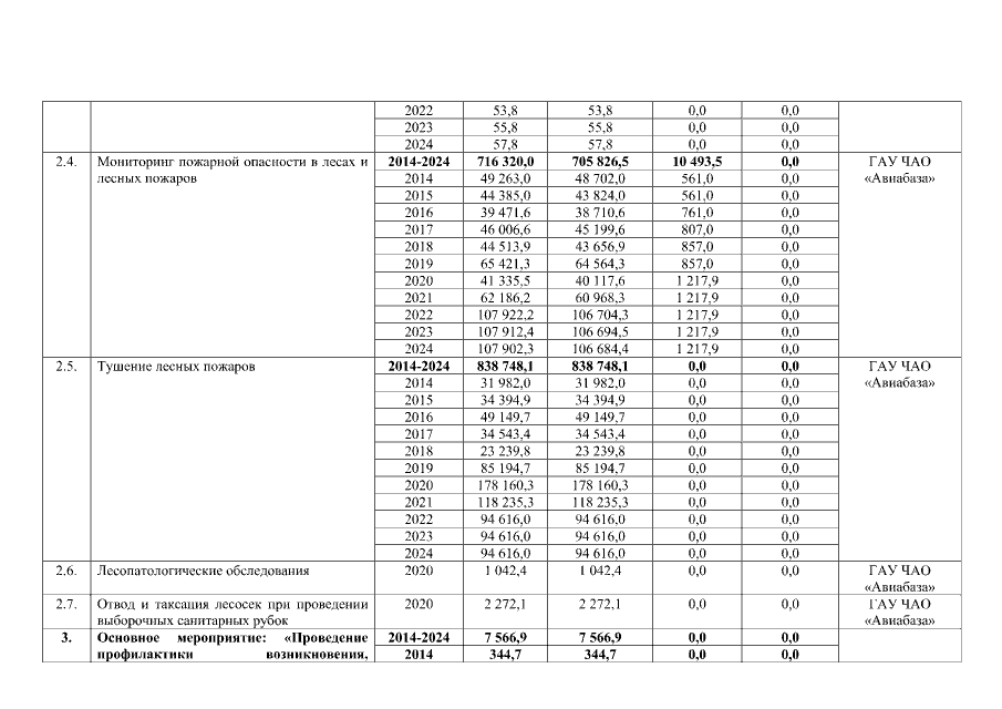
Постановление Правительства Чукотского автономного округа от 26.05.2022 № 260
"О внесении изменений в Постановление Правительства Чукотского автономного округа от 21 октября 2013 года № 409"
Номер опубликования: 8700202205260003
Дата опубликования: 26.05.2022
Страница №8 из 15:
Увеличить