Официальное опубликование правовых актов
ОФИЦИАЛЬНОЕ ОПУБЛИКОВАНИЕ
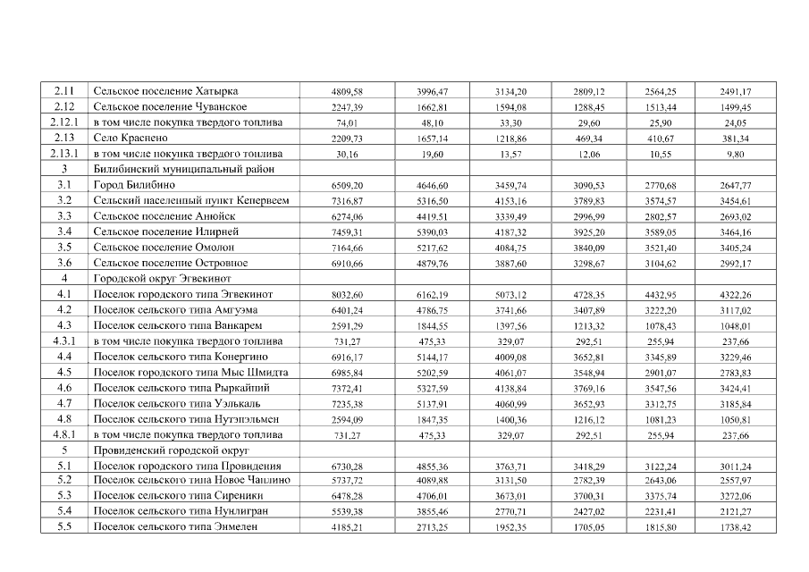
Постановление Правительства Чукотского автономного округа от 10.03.2022 № 116
"Об установлении региональных стандартов стоимости жилищно-коммунальных услуг, используемых для расчёта субсидий на оплату жилого помещения и коммунальных услуг в 2022 году"
Номер опубликования: 8700202203100003
Дата опубликования: 10.03.2022
Страница №7 из 20:
Увеличить