Официальное опубликование правовых актов
ОФИЦИАЛЬНОЕ ОПУБЛИКОВАНИЕ
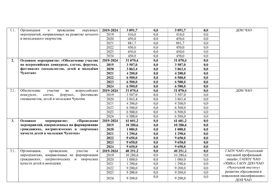
Постановление Правительства Чукотского автономного округа от 28.01.2022 № 22
"О внесении изменений в Постановление Правительства Чукотского автономного округа от 8 апреля 2019 года № 192"
Номер опубликования: 8700202201310001
Дата опубликования: 31.01.2022
Страница №26 из 38:
Увеличить