Официальное опубликование правовых актов
ОФИЦИАЛЬНОЕ ОПУБЛИКОВАНИЕ
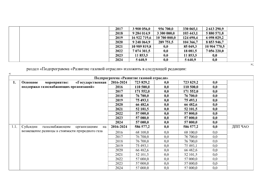
Постановление Правительства Чукотского автономного округа от 13.01.2022 № 6
"О внесении изменений в Постановление Правительства Чукотского автономного округа от 28 января 2016 года № 41"
Номер опубликования: 8700202201140002
Дата опубликования: 14.01.2022
Страница №8 из 13:
Увеличить