Официальное опубликование правовых актов
ОФИЦИАЛЬНОЕ ОПУБЛИКОВАНИЕ
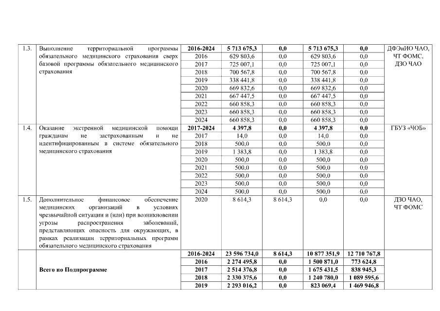
Постановление Правительства Чукотского автономного округа от 08.12.2020 № 551
"О внесении изменений в Постановление Правительства Чукотского автономного округа от 30 марта 2016 года № 151"
Номер опубликования: 8700202012100004
Дата опубликования: 10.12.2020
Страница №38 из 47:
Увеличить