Официальное опубликование правовых актов
ОФИЦИАЛЬНОЕ ОПУБЛИКОВАНИЕ
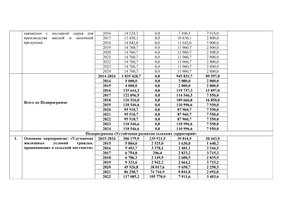
Постановление Правительства Чукотского автономного округа от 16.04.2020 № 176
"О внесении изменений в Постановление Правительства Чукотского автономного округа от 21 октября 2013 года № 411"
Номер опубликования: 8700202004170007
Дата опубликования: 17.04.2020
Страница №33 из 82:
Увеличить