Официальное опубликование правовых актов
ОФИЦИАЛЬНОЕ ОПУБЛИКОВАНИЕ
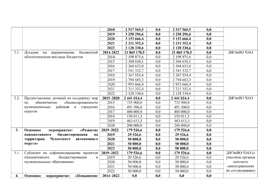
Постановление Правительства Чукотского автономного округа от 18.02.2020 № 54
"О внесении изменений в Постановление Правительства Чукотского автономного округа от 28 марта 2014 года № 142"
Номер опубликования: 8700202002200003
Дата опубликования: 20.02.2020
Страница №14 из 28:
Увеличить