Официальное опубликование правовых актов
ОФИЦИАЛЬНОЕ ОПУБЛИКОВАНИЕ
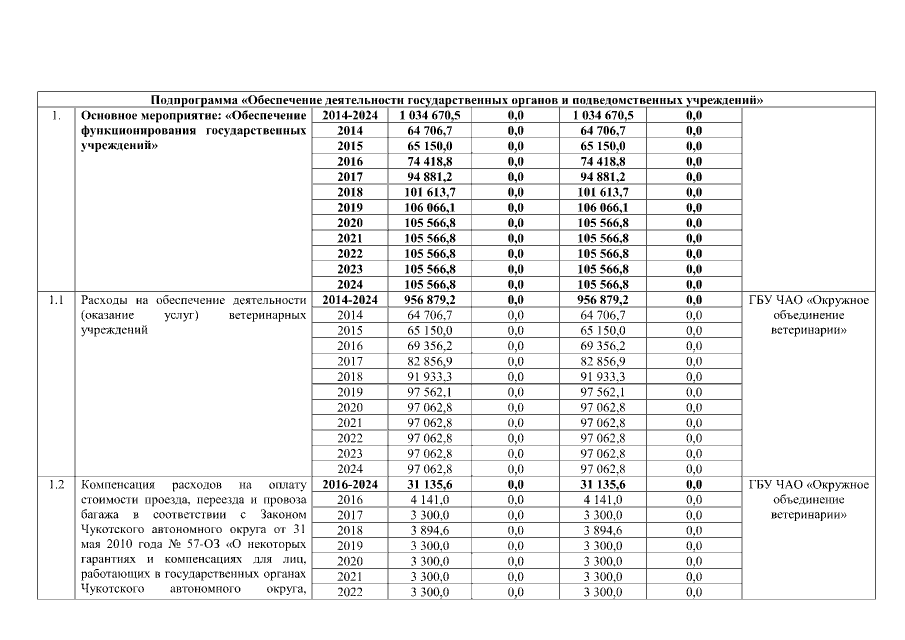
Постановление Правительства Чукотского автономного округа от 25.02.2019 № 95
"О внесении изменений в Постановление Правительства Чукотского автономного округа от 21 октября 2013 года № 411"
Номер опубликования: 8700201903040021
Дата опубликования: 04.03.2019
Страница №50 из 61:
Увеличить