Официальное опубликование правовых актов
ОФИЦИАЛЬНОЕ ОПУБЛИКОВАНИЕ
Постановление Правительства Чукотского автономного округа от 25.02.2019 № 91
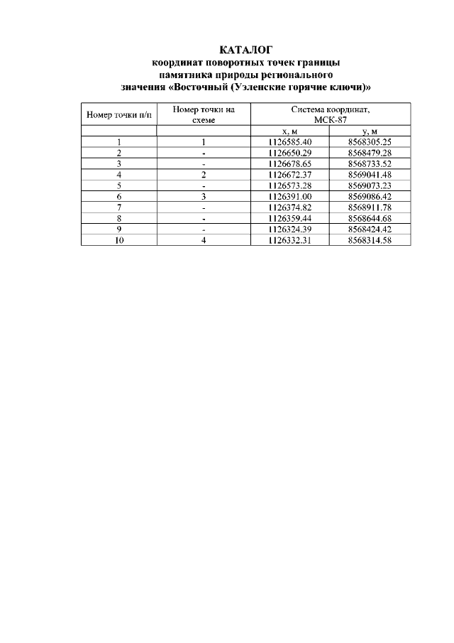
"Об утверждении Положения и Паспорта памятника природы регионального значения "Восточный (Уэленские горячие ключи)"
Номер опубликования: 8700201903040007
Дата опубликования: 04.03.2019
Страница №21 из 21:
Увеличить