Официальное опубликование правовых актов
ОФИЦИАЛЬНОЕ ОПУБЛИКОВАНИЕ
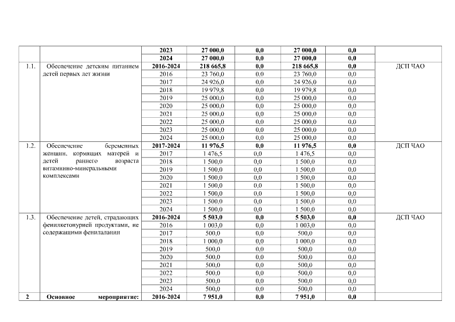
Постановление Правительства Чукотского автономного округа от 07.02.2019 № 52
"О внесении изменений в Постановление Правительства Чукотского автономного округа от 30 марта 2016 года № 151"
Номер опубликования: 8700201902120001
Дата опубликования: 12.02.2019
Страница №41 из 59:
Увеличить