Официальное опубликование правовых актов
ОФИЦИАЛЬНОЕ ОПУБЛИКОВАНИЕ
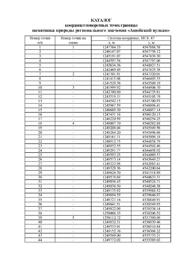
Постановление Правительства Чукотского автономного округа от 15.10.2018 № 321
"Об утверждении Положения и Паспорта памятника природы регионального значения "Анюйский вулкан"
Номер опубликования: 8700201810170003
Дата опубликования: 17.10.2018
Страница №33 из 37:
Увеличить