Официальное опубликование правовых актов
ОФИЦИАЛЬНОЕ ОПУБЛИКОВАНИЕ
Постановление Правительства Чукотского автономного округа от 10.10.2018 № 318
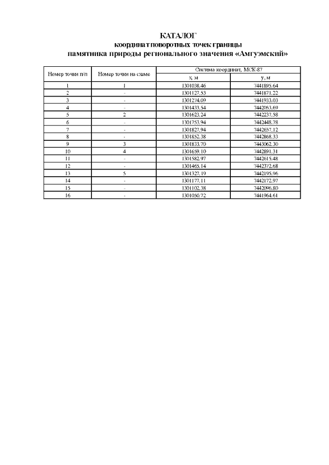
"Об утверждении Положения и Паспорта памятника природы регионального значения "Амгуэмский"
Номер опубликования: 8700201810150001
Дата опубликования: 15.10.2018
Страница №9 из 19:
Увеличить