Официальное опубликование правовых актов
ОФИЦИАЛЬНОЕ ОПУБЛИКОВАНИЕ
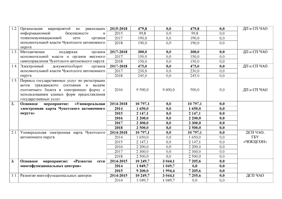
Постановление Правительства Чукотского автономного округа от 13.04.2016 № 174
"О внесении изменений в Постановление Правительства Чукотского автономного округа от 21 октября 2013 года № 402"
Номер опубликования: 8700201604190002
Дата опубликования: 19.04.2016
Страница №12 из 16:
Увеличить