Официальное опубликование правовых актов
ОФИЦИАЛЬНОЕ ОПУБЛИКОВАНИЕ
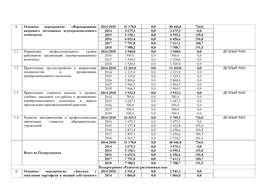
Постановление Правительства Чукотского автономного округа от 26.02.2016 № 88
"О внесении изменения в Постановление Правительства Чукотского автономного округа от 21 октября 2013 года № 411"
Номер опубликования: 8700201603020002
Дата опубликования: 02.03.2016
Страница №48 из 98:
Увеличить