Официальное опубликование правовых актов
ОФИЦИАЛЬНОЕ ОПУБЛИКОВАНИЕ
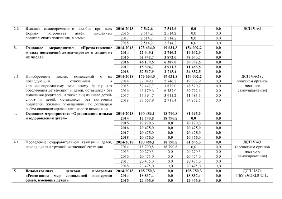
Постановление Правительства Чукотского автономного округа от 26.02.2016 № 87
"О внесении изменения в Постановление Правительства Чукотского автономного округа от 21 октября 2013 года № 404"
Номер опубликования: 8700201602290001
Дата опубликования: 29.02.2016
Страница №35 из 45:
Увеличить