Официальное опубликование правовых актов
ОФИЦИАЛЬНОЕ ОПУБЛИКОВАНИЕ
Приказ Департамента социального развития Ханты-Мансийского автономного округа - Югры от 04.02.2026 № 26-нп
"Об утверждении административного регламента предоставления государственной услуги "Предоставление дополнительных мер социальной помощи"
(Зарегистрирован 24.02.2026 № 8697)
Номер опубликования: 8601202602260001
Дата опубликования: 26.02.2026
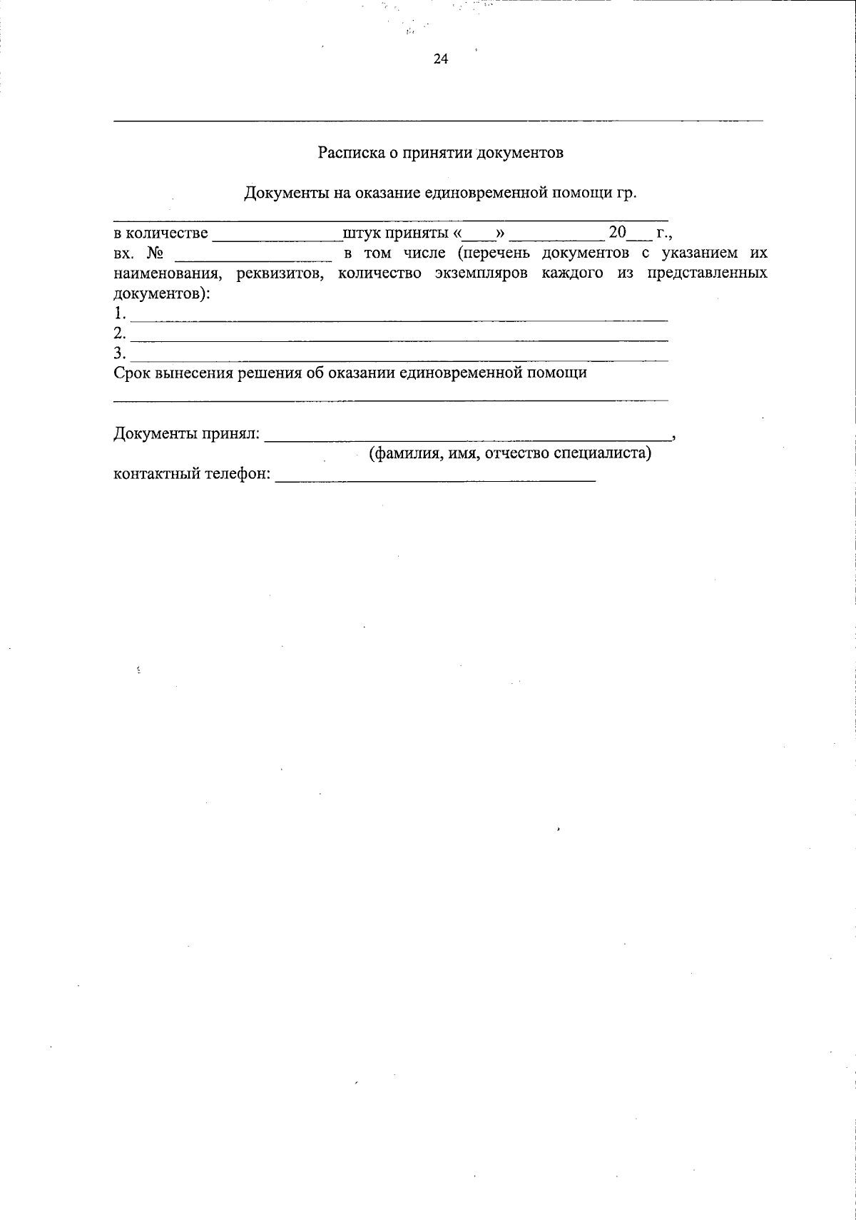
Страница №24 из 26:
Увеличить