Официальное опубликование правовых актов
ОФИЦИАЛЬНОЕ ОПУБЛИКОВАНИЕ
Приказ Департамента пространственного развития и архитектуры Ханты-Мансийского автономного округа - Югры от 25.06.2024 № 34-нп
"Об утверждении документации по планировке территории"
(Зарегистрирован 01.07.2024 № 7595 )
Номер опубликования: 8601202407080003
Дата опубликования: 08.07.2024
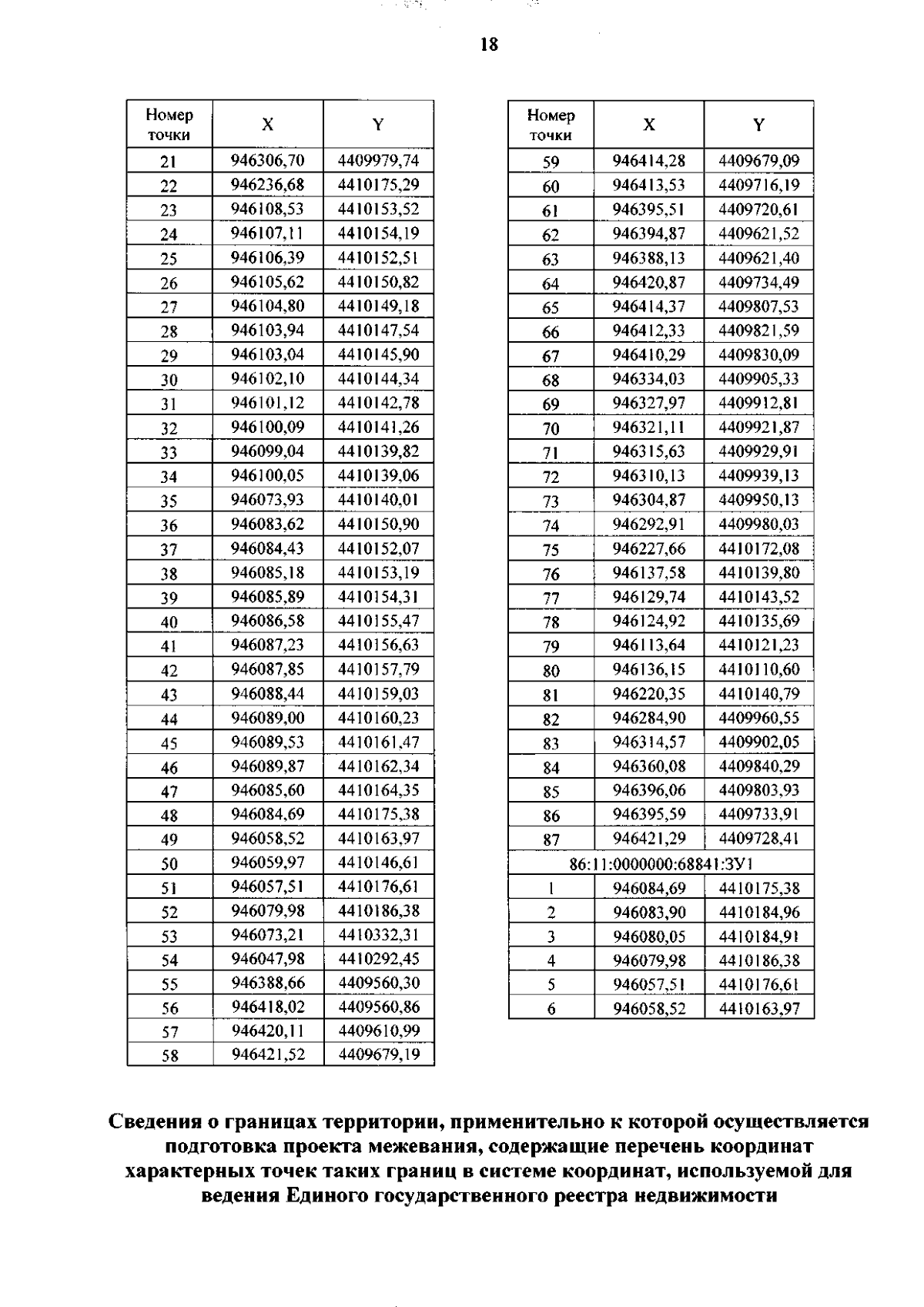
Страница №18 из 21:
Увеличить