Официальное опубликование правовых актов
ОФИЦИАЛЬНОЕ ОПУБЛИКОВАНИЕ
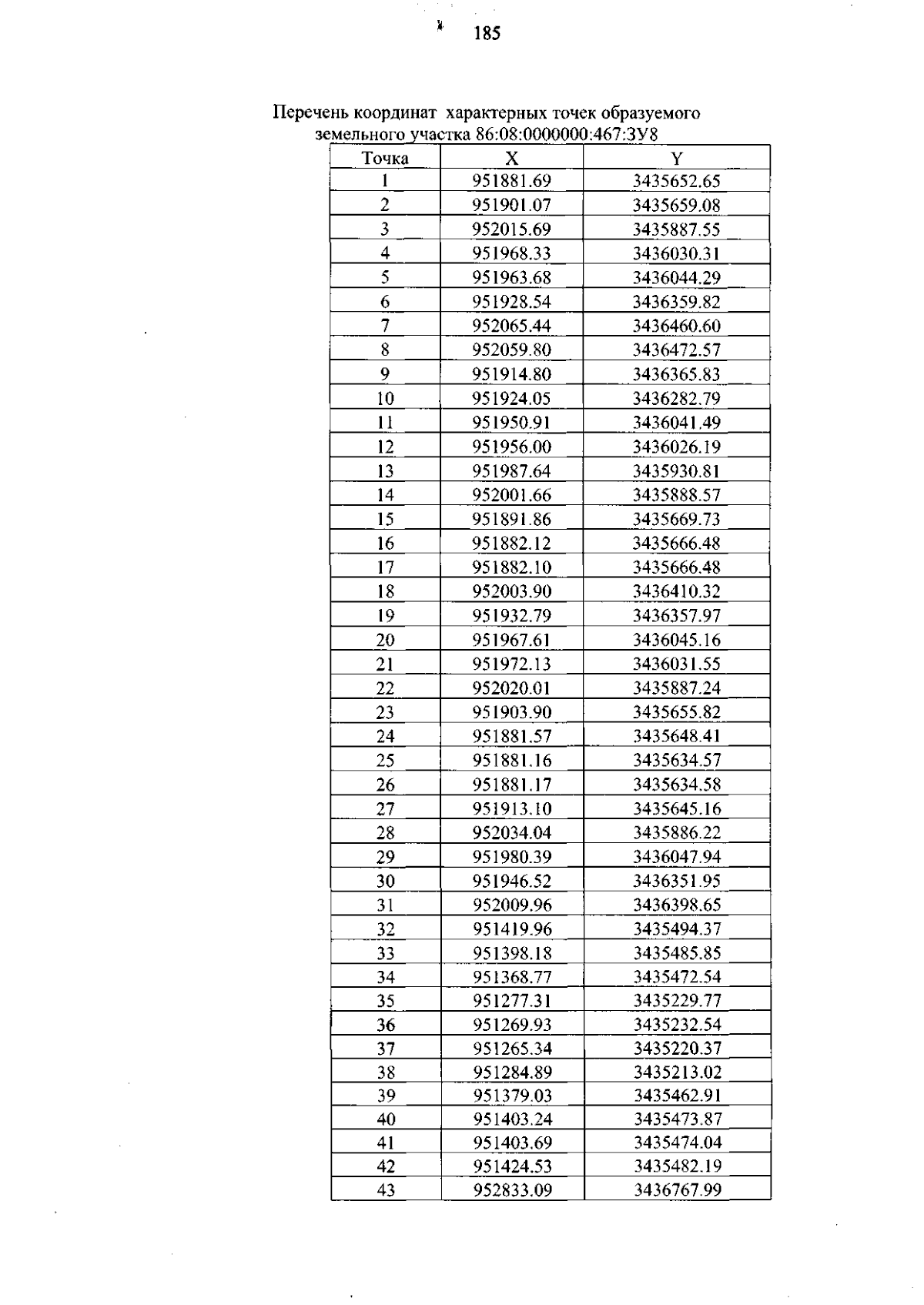
Приказ Департамента пространственного развития и архитектуры Ханты-Мансийского автономного округа - Югры от 04.06.2024 № 31-нп
"О внесении изменений в приложение 4 к приказу Департамента пространственного развития и архитектуры Ханты-Мансийского автономного округа – Югры от 6 марта 2023 года № 11-нп "Об утверждении документации по планировке территории"
(Зарегистрирован 07.06.2024 № 7574 )
Номер опубликования: 8601202406100004
Дата опубликования: 10.06.2024
Страница №185 из 238:
Увеличить