Официальное опубликование правовых актов
ОФИЦИАЛЬНОЕ ОПУБЛИКОВАНИЕ
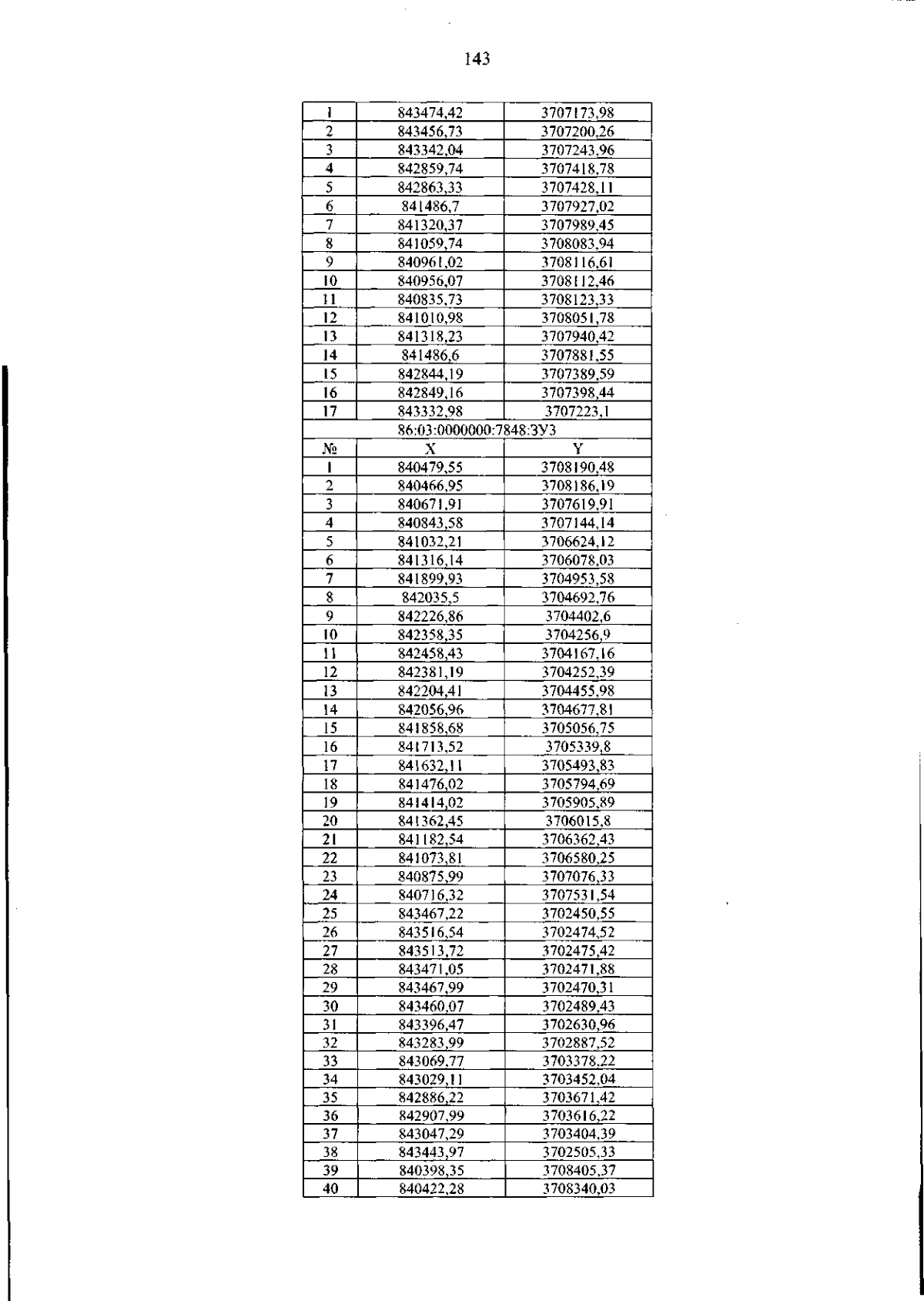
Приказ Департамента пространственного развития и архитектуры Ханты-Мансийского автономного округа - Югры от 29.05.2024 № 30-нп
"Об утверждении документации по планировке территории"
(Зарегистрирован 04.06.2024 № 7565 )
Номер опубликования: 8601202406070004
Дата опубликования: 07.06.2024
Страница №143 из 149:
Увеличить