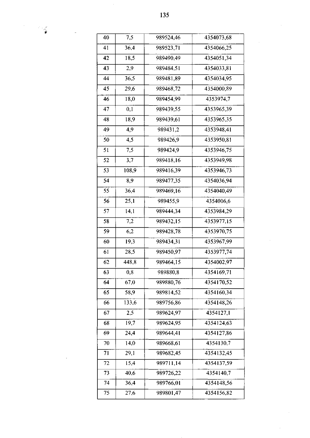
Приказ Департамента пространственного развития и архитектуры Ханты-Мансийского автономного округа - Югры от 29.05.2024 № 29-нп
"О внесении изменений в приказ Департамента пространственного развития и архитектуры Ханты-Мансийского автономного округа – Югры от 13 декабря 2022 года № 18-нп "Об утверждении документации по планировке территории"
(Зарегистрирован 04.06.2024 № 7567)
"О внесении изменений в приказ Департамента пространственного развития и архитектуры Ханты-Мансийского автономного округа – Югры от 13 декабря 2022 года № 18-нп "Об утверждении документации по планировке территории"
(Зарегистрирован 04.06.2024 № 7567)
Номер опубликования: 8601202406070003
Дата опубликования:
07.06.2024
