Официальное опубликование правовых актов
ОФИЦИАЛЬНОЕ ОПУБЛИКОВАНИЕ
Приказ Департамента пространственного развития и архитектуры Ханты-Мансийского автономного округа - Югры от 29.05.2024 № 28-нп
"О внесении изменений в приказ Департамента пространственного развития и архитектуры Ханты-Мансийского автономного округа – Югры от 27 декабря 2023 года № 64-нп "Об утверждении документации по планировке территории"
(Зарегистрирован 04.06.2024 № 7566)
Номер опубликования: 8601202406070001
Дата опубликования: 07.06.2024
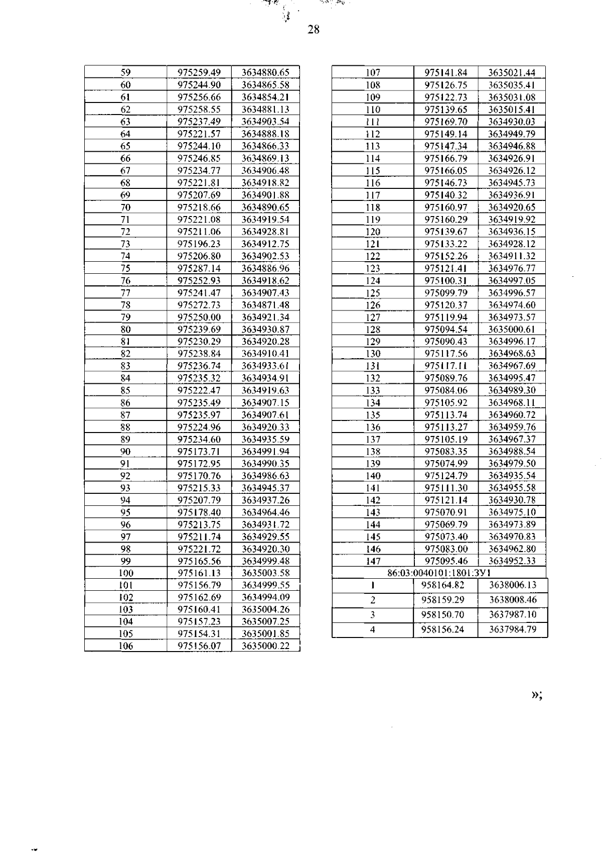
Страница №28 из 29:
Увеличить