Официальное опубликование правовых актов
ОФИЦИАЛЬНОЕ ОПУБЛИКОВАНИЕ
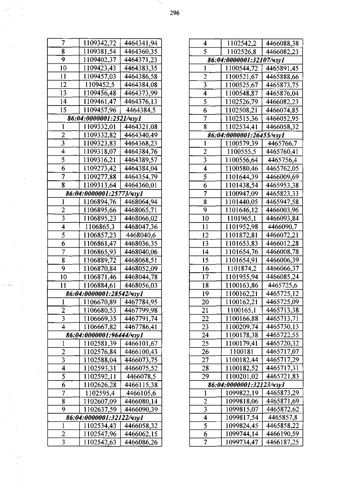
Приказ Департамента пространственного развития и архитектуры Ханты-Мансийского автономного округа - Югры от 02.04.2024 № 18-нп
"О внесении изменений в приказ Департамента строительства Ханты-Мансийского автономного округа – Югры от 19 июля 2021 года №15-нп «Об утверждении документации по планировке территории и внесении изменений в приказ Департамента строительства Ханты-Мансийского автономного округа – Югры от 21 сентября 2020 года № 23-нп «Об утверждении документации по планировке территории и внесении изменений в некоторые приказы Департамента строительства Ханты-Мансийского автономного округа – Югры"
(Зарегистрирован 05.04.2024 № 7474 )
Номер опубликования: 8601202404080001
Дата опубликования: 08.04.2024
Страница №296 из 320:
Увеличить