Официальное опубликование правовых актов
ОФИЦИАЛЬНОЕ ОПУБЛИКОВАНИЕ
Приказ Департамента пространственного развития и архитектуры Ханты-Мансийского автономного округа - Югры от 28.02.2024 № 12-нп
"О внесении изменений в приказ Департамента пространственного развития и архитектуры Ханты-Мансийского автономного округа – Югры от 15 января 2024 года № 3-нп «Об утверждении документации по планировке территории»"
(Зарегистрирован 06.03.2024 № 7417 )
Номер опубликования: 8601202403110002
Дата опубликования: 11.03.2024
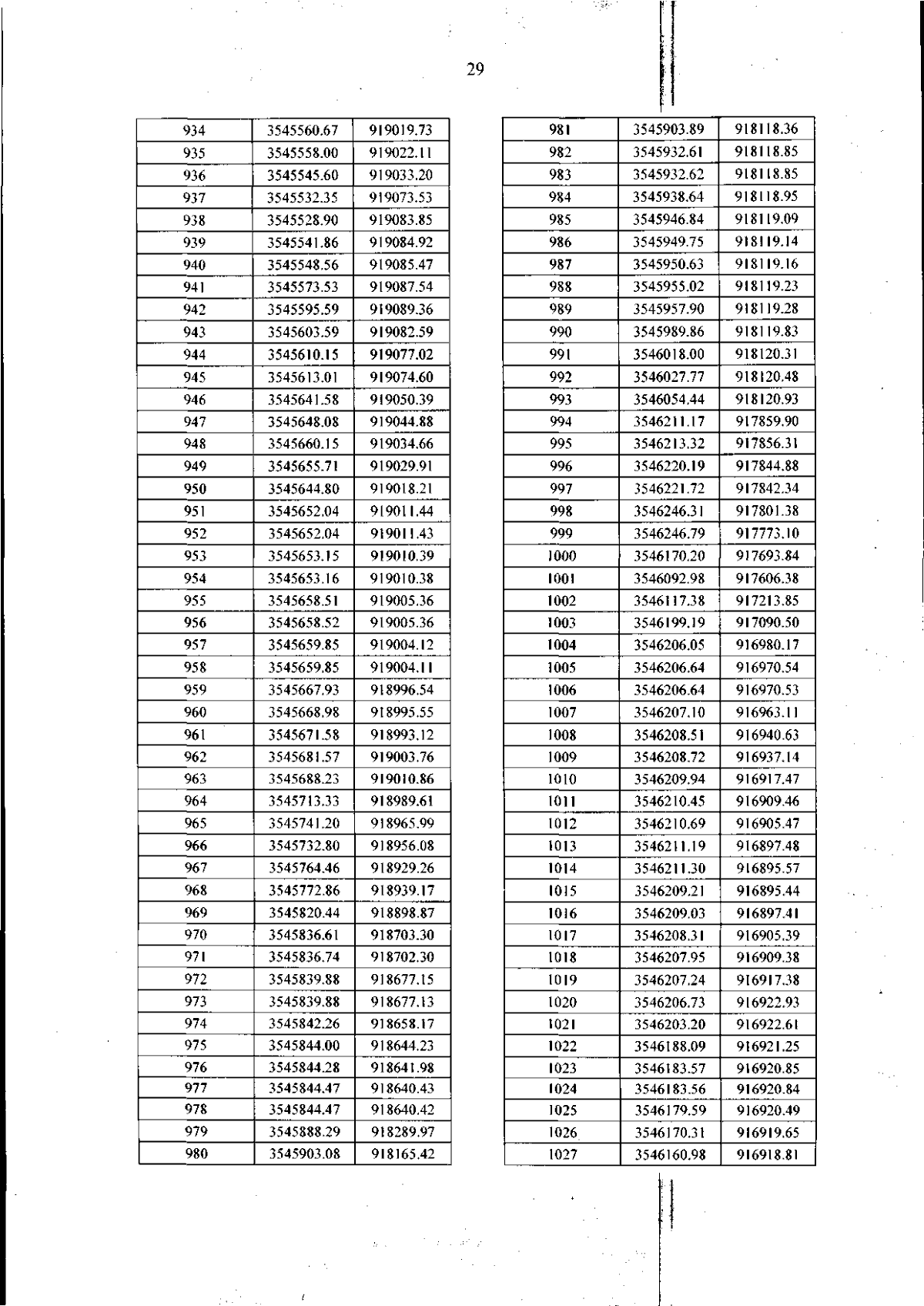
Страница №29 из 139:
Увеличить