Официальное опубликование правовых актов
ОФИЦИАЛЬНОЕ ОПУБЛИКОВАНИЕ
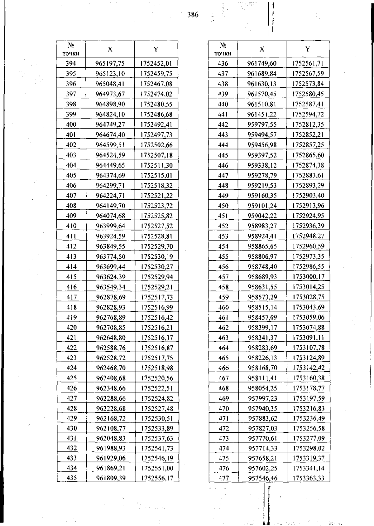
Приказ Департамента пространственного развития и архитектуры Ханты-Мансийского автономного округа - Югры от 21.02.2024 № 11-нп
"О внесении изменений в приказ Департамента пространственного развития и архитектуры Ханты-Мансийского автономного округа — Югры от 23 сентября 2022 года № 7-нп "Об утверждении документации по планировке территории и внесении изменения в приложение к приказу Департамента строительства Ханты-Мансийского автономного округа — Югры от 26 ноября 2021 года № 35-нп "Об утверждении документации по планировке территории"
(Зарегистрирован 29.02.2024 № 7407 )
Номер опубликования: 8601202403050007
Дата опубликования: 05.03.2024
Страница №386 из 417:
Увеличить