Официальное опубликование правовых актов
ОФИЦИАЛЬНОЕ ОПУБЛИКОВАНИЕ
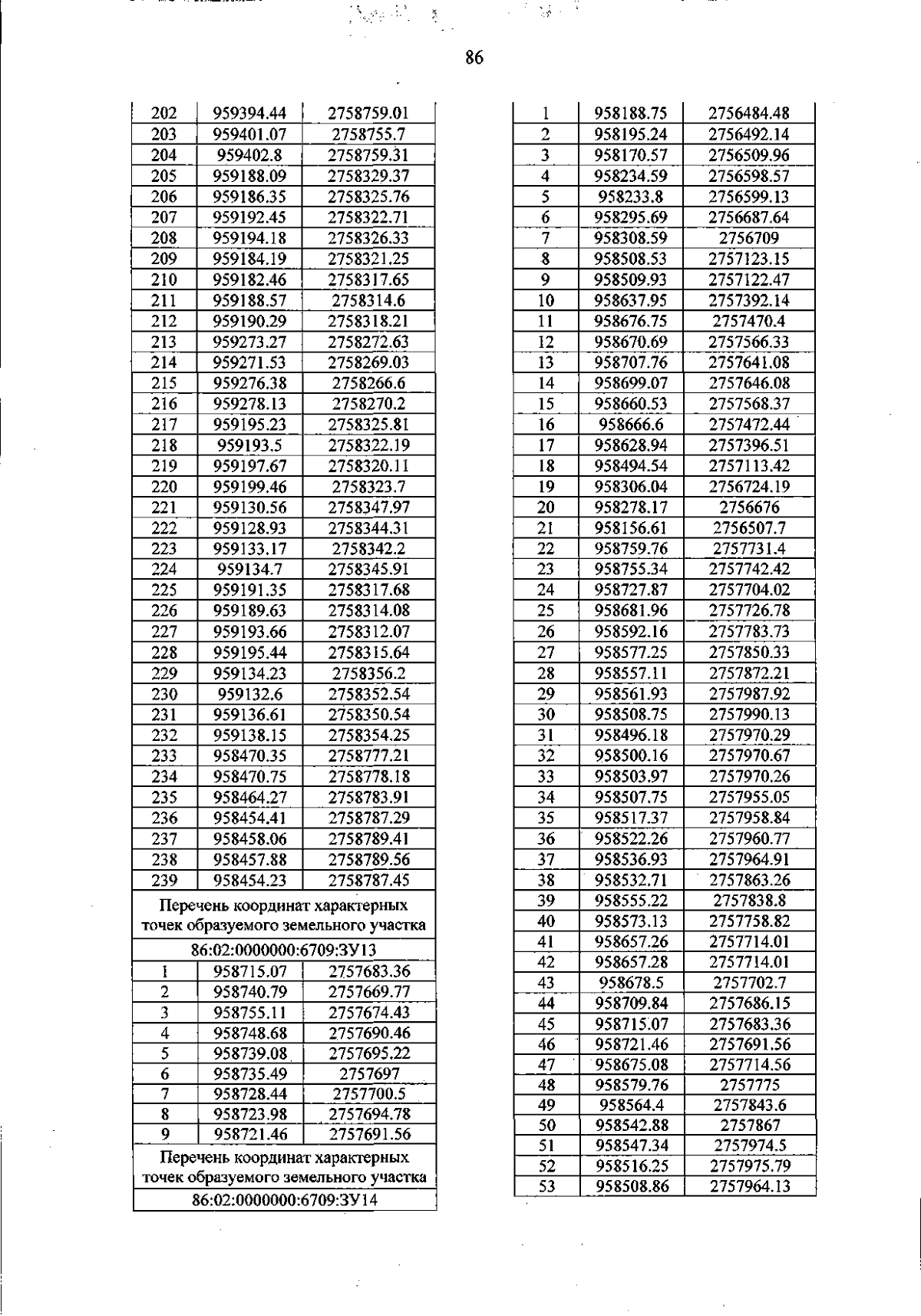
Приказ Департамента пространственного развития и архитектуры Ханты-Мансийского автономного округа - Югры от 31.01.2024 № 6-нп
"Об утверждении документации по планировке территории"
(Зарегистрирован 08.02.2024 № 7372)
Номер опубликования: 8601202402140002
Дата опубликования: 14.02.2024
Страница №86 из 100:
Увеличить