Официальное опубликование правовых актов
ОФИЦИАЛЬНОЕ ОПУБЛИКОВАНИЕ
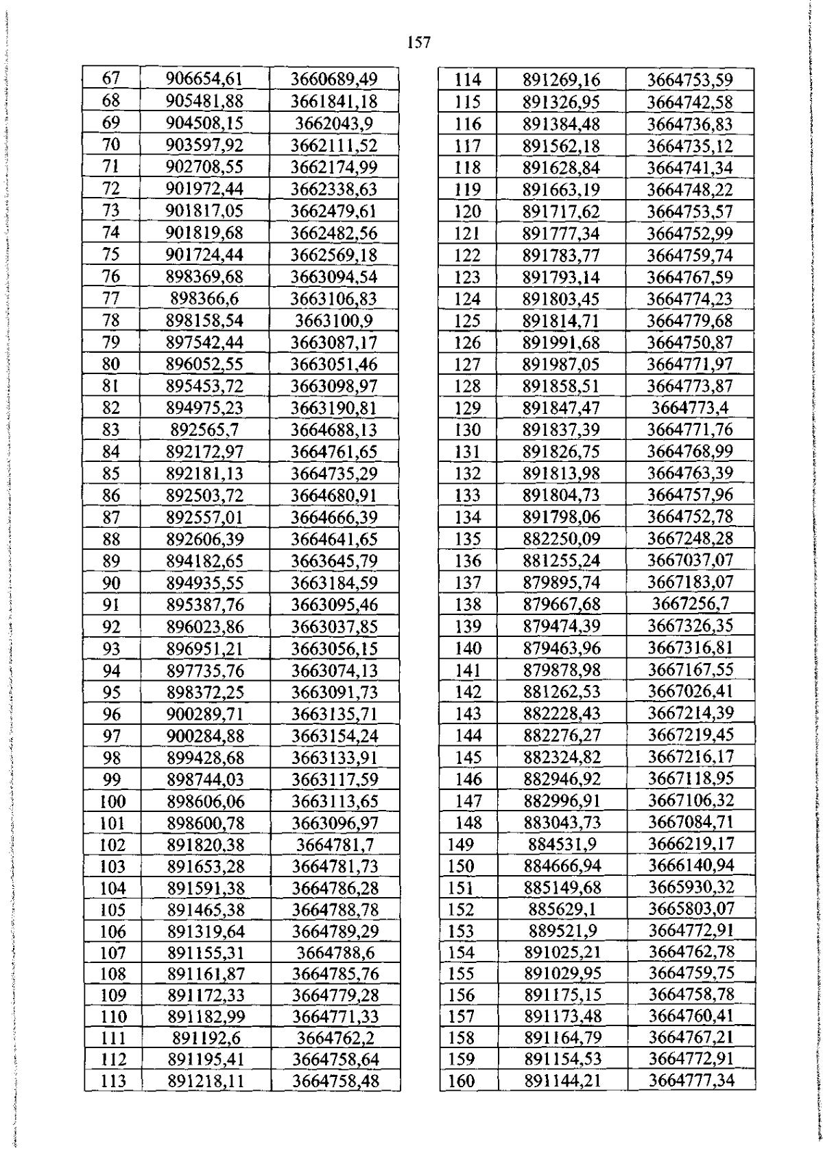
Приказ Департамента пространственного развития и архитектуры Ханты-Мансийского автономного округа - Югры от 25.12.2023 № 62-нп
"Об утверждении документации по планировке территории"
(Зарегистрирован 28.12.2023 № 7296 )
Номер опубликования: 8601202312290016
Дата опубликования: 29.12.2023
Страница №157 из 162:
Увеличить