Официальное опубликование правовых актов
ОФИЦИАЛЬНОЕ ОПУБЛИКОВАНИЕ
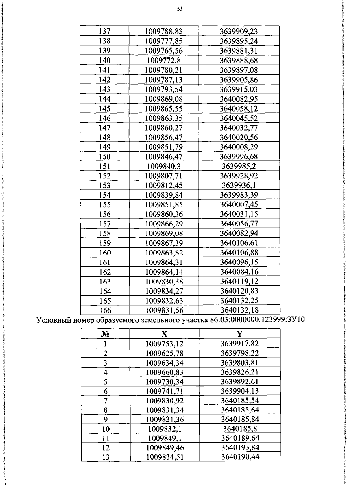
Приказ Департамента пространственного развития и архитектуры Ханты-Мансийского автономного округа - Югры от 25.12.2023 № 61-нп
"Об утверждении документации по планировке территории"
(Зарегистрирован 27.12.2023 № 7290 )
Номер опубликования: 8601202312290011
Дата опубликования: 29.12.2023
Страница №53 из 67:
Увеличить