Официальное опубликование правовых актов
ОФИЦИАЛЬНОЕ ОПУБЛИКОВАНИЕ
Приказ Департамента пространственного развития и архитектуры Ханты-Мансийского автономного округа - Югры от 13.12.2023 № 58-нп
"Об утверждении документации по планировке территории"
(Зарегистрирован 20.12.2023 № 7254 )
Номер опубликования: 8601202312220004
Дата опубликования: 22.12.2023
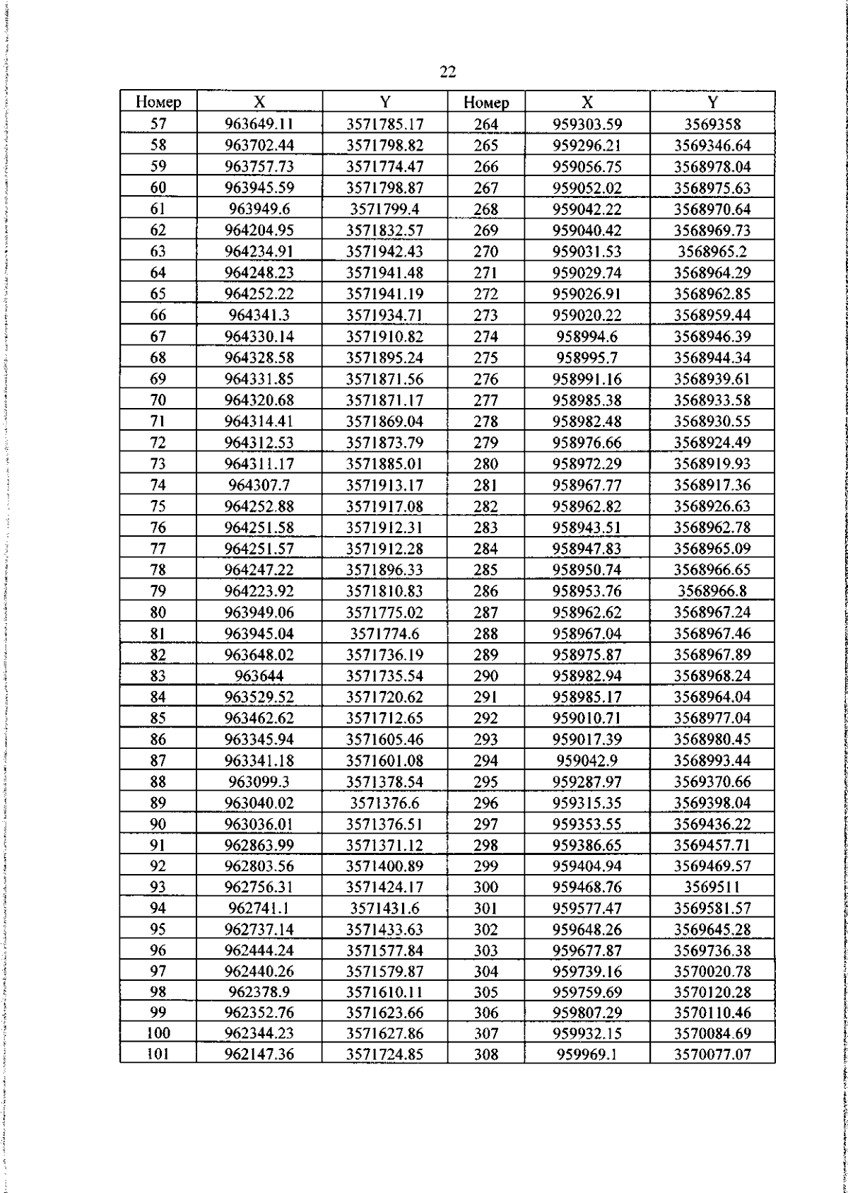
Страница №22 из 69:
Увеличить