Официальное опубликование правовых актов
ОФИЦИАЛЬНОЕ ОПУБЛИКОВАНИЕ
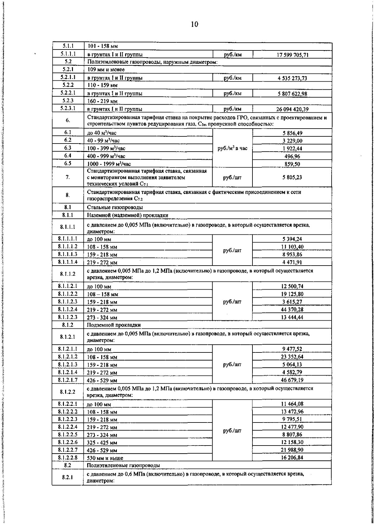
Приказ Региональной службы по тарифам Ханты-Мансийского автономного округа - Югры от 12.12.2023 № 118-нп
"Об установлении платы за технологическое присоединение газоиспользующего оборудования к газораспределительным сетям, а также стандартизированных тарифных ставок, определяющих величину платы за технологическое присоединение газоиспользующего оборудования к газораспределительным сетям, на территории Ханты-Мансийского автономного округа – Югры"
(Зарегистрирован 15.12.2023 № 7231)
Номер опубликования: 8601202312190029
Дата опубликования: 19.12.2023
Страница №10 из 64:
Увеличить