Официальное опубликование правовых актов
ОФИЦИАЛЬНОЕ ОПУБЛИКОВАНИЕ
Приказ Департамента пространственного развития и архитектуры Ханты-Мансийского автономного округа - Югры от 01.12.2023 № 56-нп
"О внесении изменений в приказ Департамента пространственного развития и архитектуры Ханты-Мансийского автономного округа – Югры от 13 декабря 2022 года № 18-нп "Об утверждении документации по планировке территории"
(Зарегистрирован 08.12.2023 № 7189)
Номер опубликования: 8601202312130001
Дата опубликования: 13.12.2023
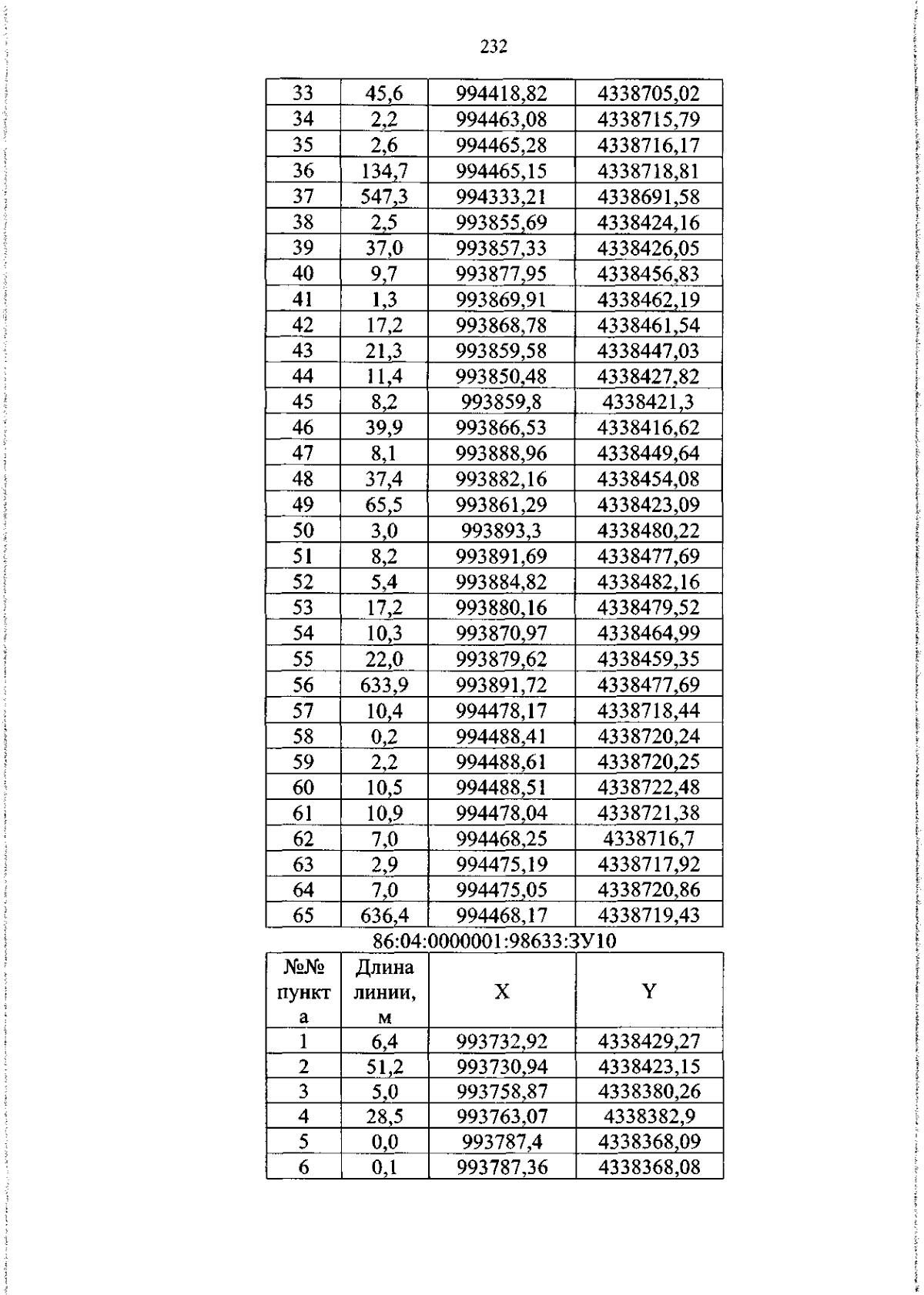
Страница №232 из 347:
Увеличить