Официальное опубликование правовых актов
ОФИЦИАЛЬНОЕ ОПУБЛИКОВАНИЕ
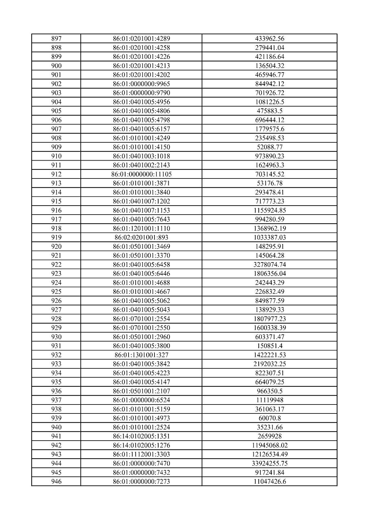
Приказ Департамента по управлению государственным имуществом Ханты-Мансийского автономного округа - Югры от 20.11.2023 № 52-нп
"Об утверждении результатов определения кадастровой стоимости зданий, помещений, сооружений, объектов незавершенного строительства, машино-мест на территории Ханты-Мансийского автономного округа – Югры"
(Зарегистрирован 21.11.2023 № 7106)
Номер опубликования: 8601202311240012
Дата опубликования: 24.11.2023
Страница №22 из 25543:
Увеличить