Официальное опубликование правовых актов
ОФИЦИАЛЬНОЕ ОПУБЛИКОВАНИЕ
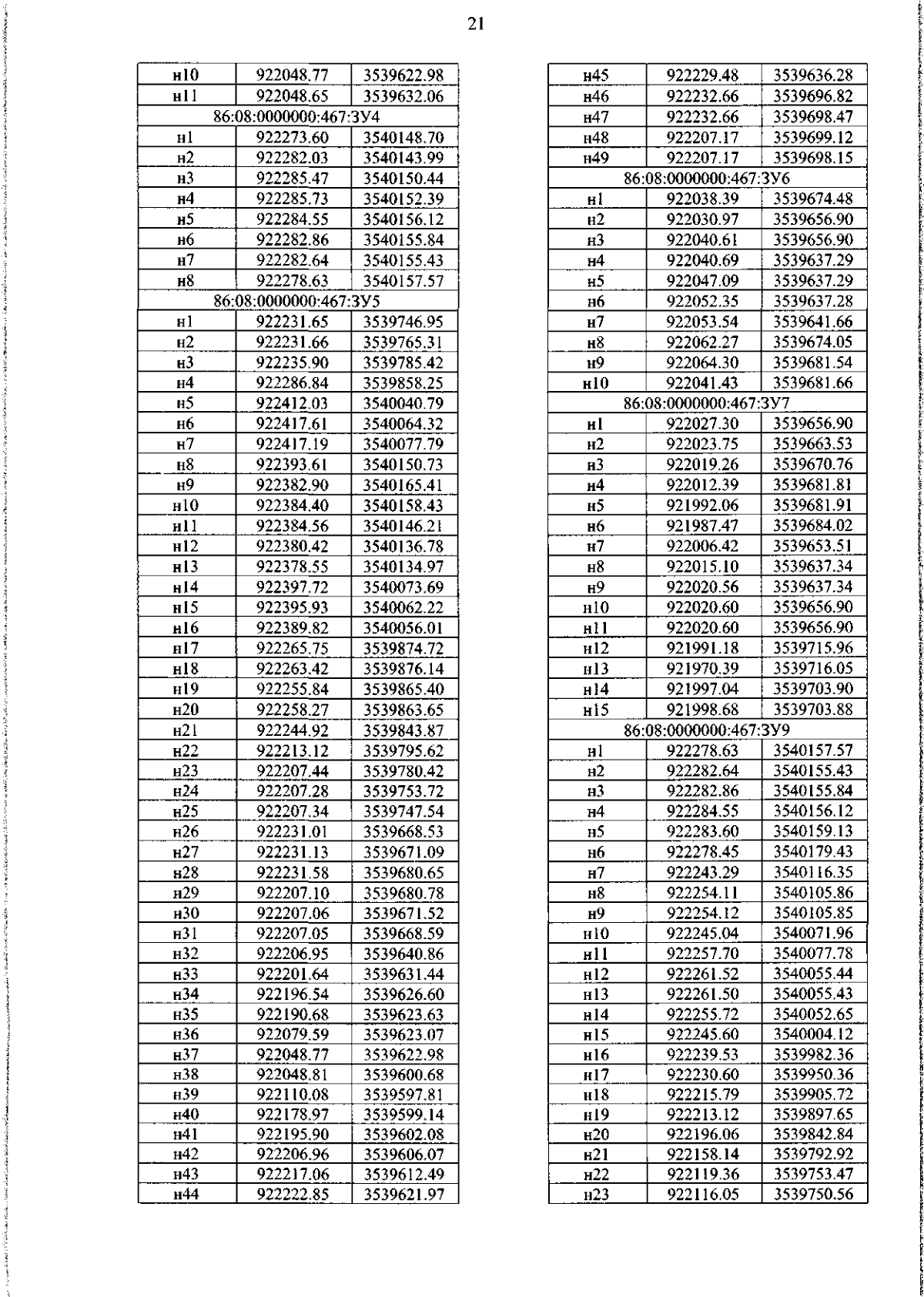
Приказ Департамента пространственного развития и архитектуры Ханты-Мансийского автономного округа - Югры от 08.11.2023 № 52-нп
"Об утверждении документации по планировке территории"
(Зарегистрирован 10.11.2023 № 7085)
Номер опубликования: 8601202311160006
Дата опубликования: 16.11.2023
Страница №21 из 25:
Увеличить