Официальное опубликование правовых актов
ОФИЦИАЛЬНОЕ ОПУБЛИКОВАНИЕ
Приказ Департамента пространственного развития и архитектуры Ханты-Мансийского автономного округа - Югры от 08.09.2023 № 49-нп
"О внесении изменений в приказ Департамента пространственного развития и архитектуры Ханты-Мансийского автономного округа – Югры от 27 июня 2023 года № 31-нп "Об утверждении документации по планировке территории"
(Зарегистрирован 26.09.2023 № 7006 )
Номер опубликования: 8601202309280003
Дата опубликования: 28.09.2023
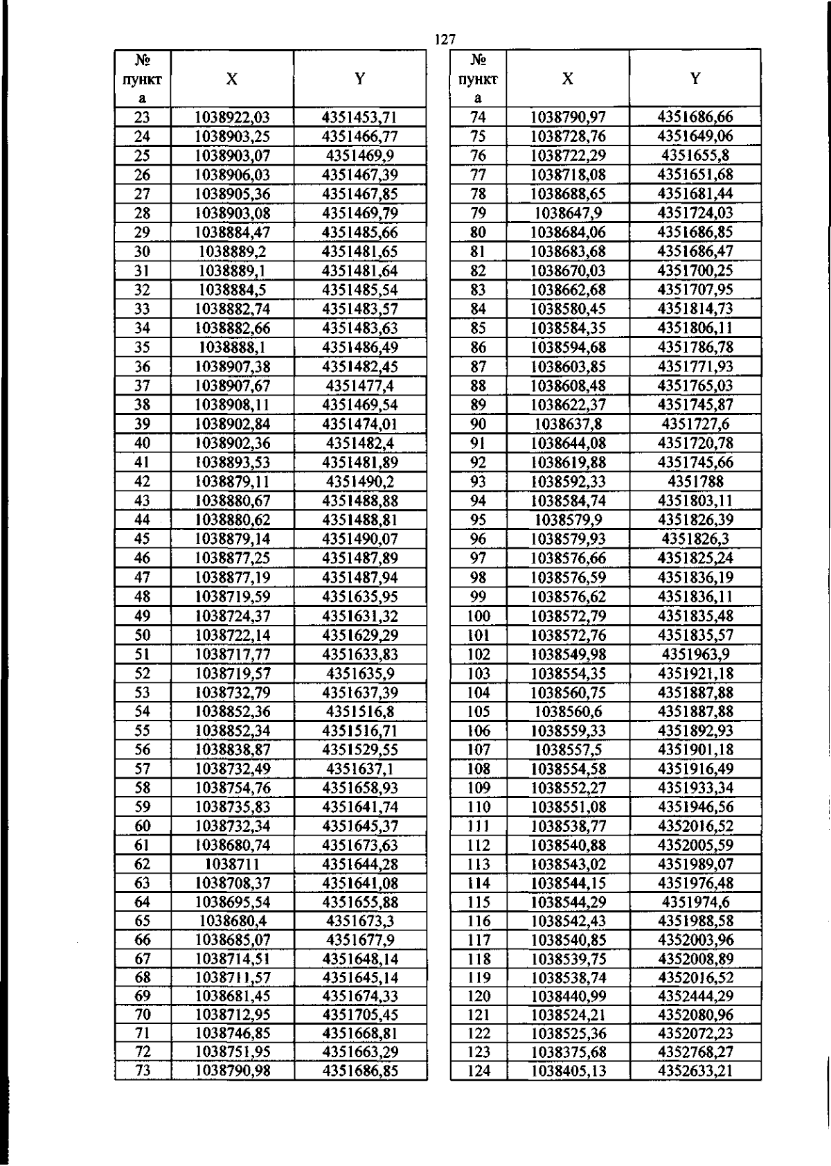
Страница №127 из 139:
Увеличить