Официальное опубликование правовых актов
ОФИЦИАЛЬНОЕ ОПУБЛИКОВАНИЕ
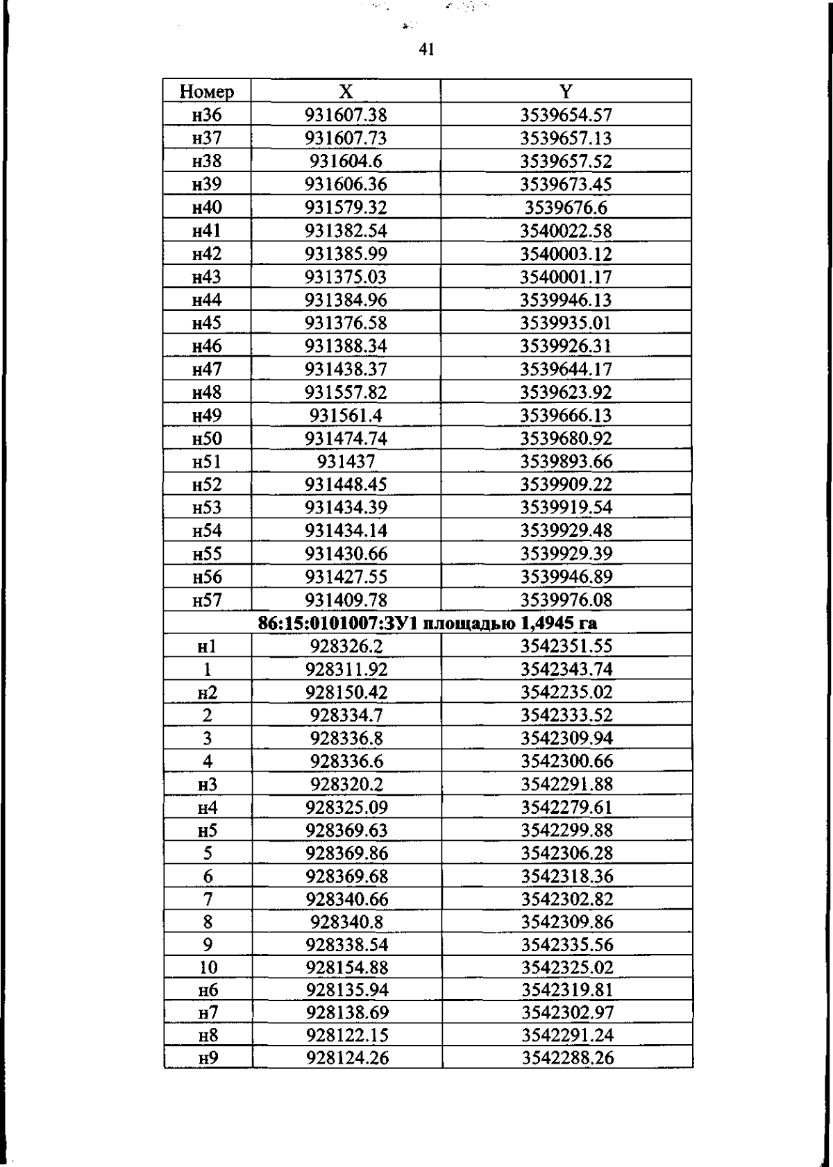
Приказ Департамента пространственного развития и архитектуры Ханты-Мансийского автономного округа - Югры от 06.09.2023 № 46-нп
"Об утверждении документации по планировке территории"
(Зарегистрирован 08.09.2023 № 6978 )
Номер опубликования: 8601202309110003
Дата опубликования: 11.09.2023
Страница №41 из 44:
Увеличить