Официальное опубликование правовых актов
ОФИЦИАЛЬНОЕ ОПУБЛИКОВАНИЕ
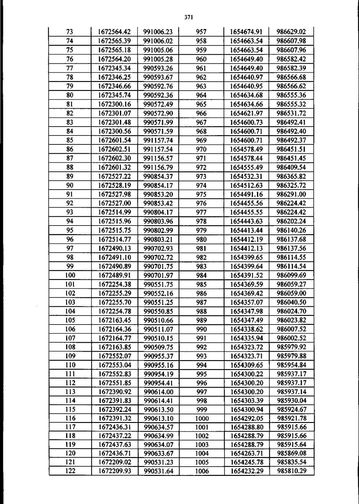
Приказ Департамента пространственного развития и архитектуры Ханты-Мансийского автономного округа - Югры от 14.08.2023 № 42-нп
"О внесении изменений в приказ Департамента строительства Ханты-Мансийского автономного округа — Югры от 17 мая 2021 года № 11-нп «Об утверждении документации по планировке территории и внесении изменений в некоторые приказы Департамента строительства Ханты-Мансийского автономного округа — Югры»"
(Зарегистрирован 18.08.2023 № 6951 )
Номер опубликования: 8601202308240003
Дата опубликования: 24.08.2023
Страница №371 из 391:
Увеличить