Официальное опубликование правовых актов
ОФИЦИАЛЬНОЕ ОПУБЛИКОВАНИЕ
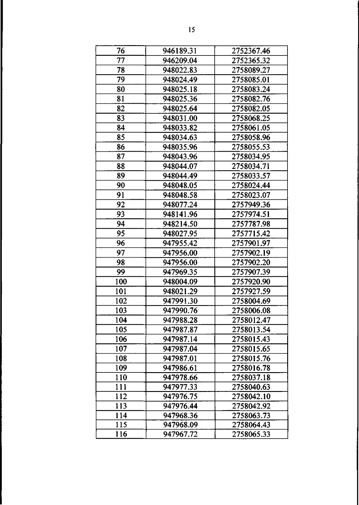
Приказ Департамента пространственного развития и архитектуры Ханты-Мансийского автономного округа - Югры от 03.08.2023 № 39-нп
"Об утверждении документации по планировке территории"
(Зарегистрирован 15.08.2023 № 6946)
Номер опубликования: 8601202308180001
Дата опубликования: 18.08.2023
Страница №15 из 17:
Увеличить