Официальное опубликование правовых актов
ОФИЦИАЛЬНОЕ ОПУБЛИКОВАНИЕ
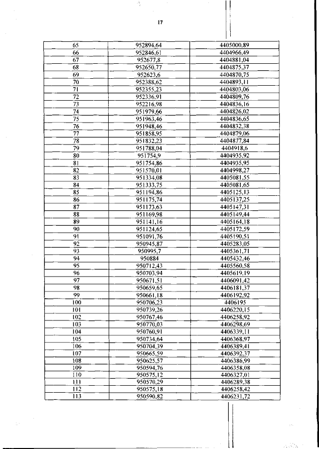
Приказ Департамента пространственного развития и архитектуры Ханты-Мансийского автономного округа - Югры от 05.07.2023 № 33-нп
"Об утверждении документации по планировке территории"
(Зарегистрирован 11.07.2023 № 6897)
Номер опубликования: 8601202307170002
Дата опубликования: 17.07.2023
Страница №17 из 100:
Увеличить