Официальное опубликование правовых актов
ОФИЦИАЛЬНОЕ ОПУБЛИКОВАНИЕ
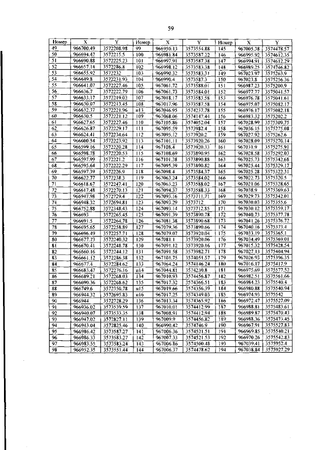
Приказ Департамента пространственного развития и архитектуры Ханты-Мансийского автономного округа - Югры от 01.06.2023 № 26-нп
"О внесении изменений в приказ Департамента строительства Ханты-Мансийского автономного округа – Югры от 17 февраля 2020 года № 4-нп "Об утверждении документации по планировке территории"
(Зарегистрирован 06.06.2023 № 6842 )
Номер опубликования: 8601202306090005
Дата опубликования: 09.06.2023
Страница №59 из 63:
Увеличить