Официальное опубликование правовых актов
ОФИЦИАЛЬНОЕ ОПУБЛИКОВАНИЕ
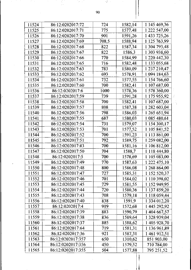
Приказ Департамента по управлению государственным имуществом Ханты-Мансийского автономного округа - Югры от 17.05.2023 № 26-нп
"О внесении изменений в приложение 1 к приказу Департамента по управлению государственным имуществом Ханты-Мансийского автономного округа – Югры от 21 ноября 2022 года № 31-нп "Об утверждении результатов определения кадастровой стоимости земельных участков на территории Ханты-Мансийского автономного округа – Югры"
(Зарегистрирован 23.05.2023 № 6806 )
Номер опубликования: 8601202305260002
Дата опубликования: 26.05.2023
Страница №90 из 156:
Увеличить