Официальное опубликование правовых актов
ОФИЦИАЛЬНОЕ ОПУБЛИКОВАНИЕ
Приказ Департамента пространственного развития и архитектуры Ханты-Мансийского автономного округа - Югры от 12.05.2023 № 18-нп
"Об утверждении документации по планировке территории"
(Зарегистрирован 22.05.2023 № 6803 )
Номер опубликования: 8601202305230003
Дата опубликования: 23.05.2023
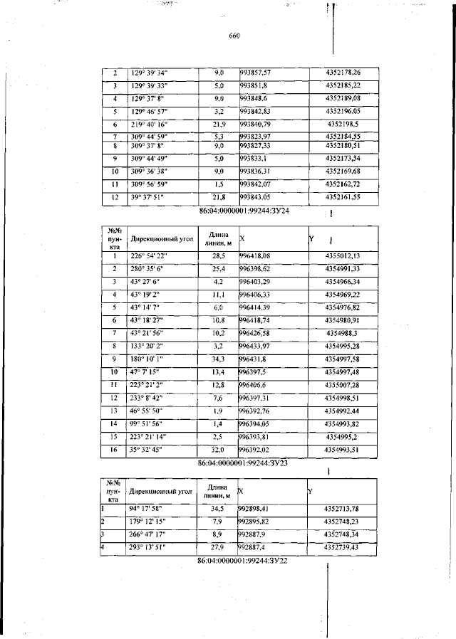
Страница №660 из 732:
Увеличить