Официальное опубликование правовых актов
ОФИЦИАЛЬНОЕ ОПУБЛИКОВАНИЕ
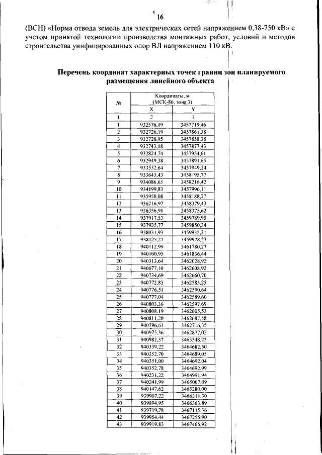
Приказ Департамента пространственного развития и архитектуры Ханты-Мансийского автономного округа - Югры от 11.04.2023 № 15-нп
"Об утверждении документации по планировке территории"
(Зарегистрирован 26.04.2023 № 6758)
Номер опубликования: 8601202305030003
Дата опубликования: 03.05.2023
Страница №16 из 252:
Увеличить