Официальное опубликование правовых актов
ОФИЦИАЛЬНОЕ ОПУБЛИКОВАНИЕ
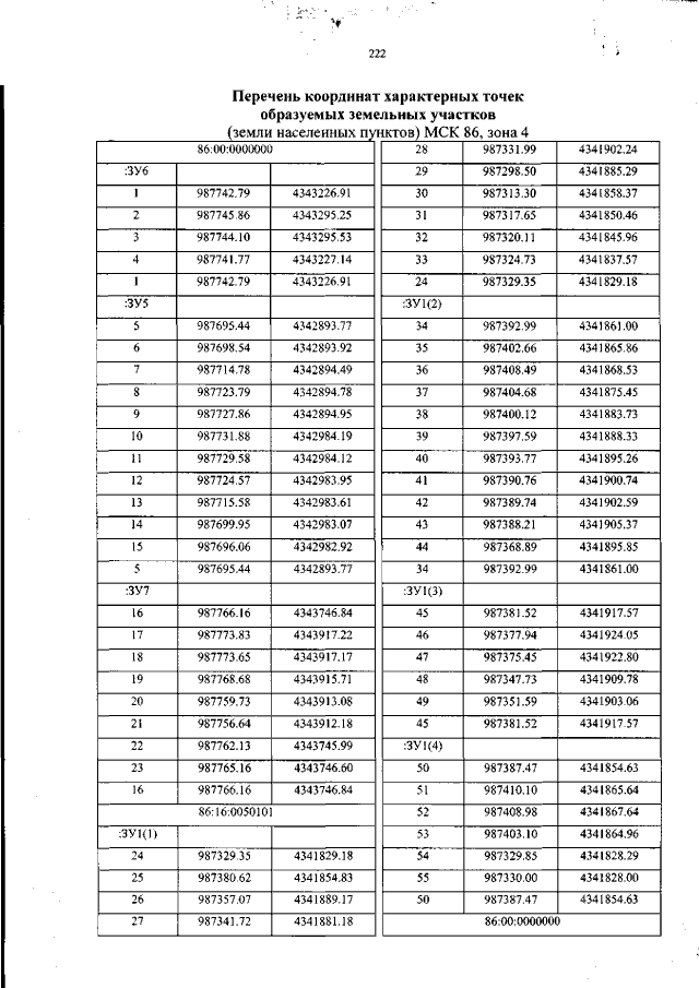
Приказ Департамента пространственного развития и архитектуры Ханты-Мансийского автономного округа - Югры от 24.03.2023 № 14-нп
"Об утверждении документации по планировке территории"
(Зарегистрирован 05.04.2023 № 6709)
Номер опубликования: 8601202304130003
Дата опубликования: 13.04.2023
Страница №222 из 232:
Увеличить