Официальное опубликование правовых актов
ОФИЦИАЛЬНОЕ ОПУБЛИКОВАНИЕ
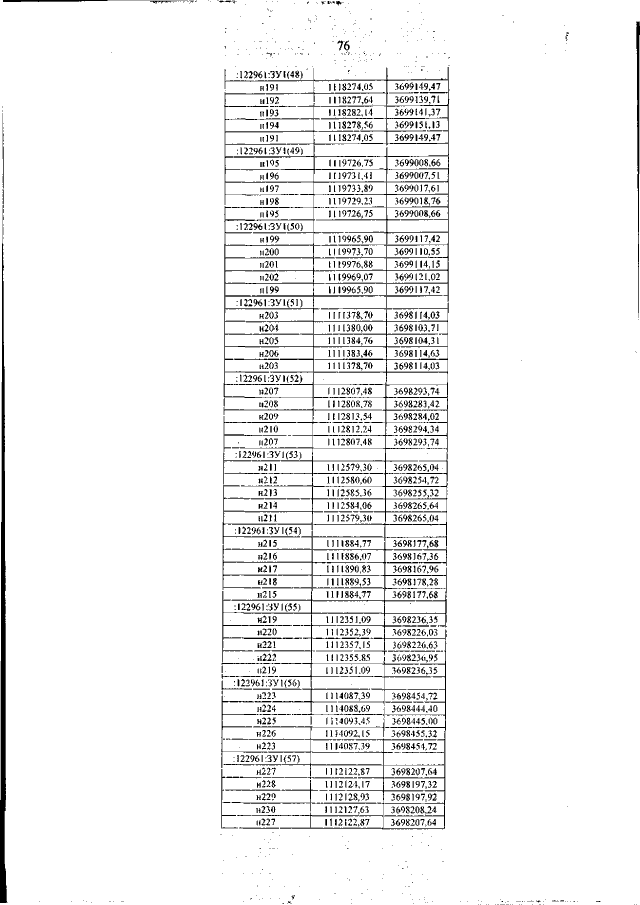
Приказ Департамента пространственного развития и архитектуры Ханты-Мансийского автономного округа - Югры от 17.03.2023 № 12-нп
"О внесении изменений в приказ Департамента строительства Ханты-Мансийского автономного округа – Югры от 22 сентября 2021 года № 27-нп "Об утверждении документации по планировке территории"
(Зарегистрирован 21.03.2023 № 6680)
Номер опубликования: 8601202303270001
Дата опубликования: 27.03.2023
Страница №76 из 139:
Увеличить