Официальное опубликование правовых актов
ОФИЦИАЛЬНОЕ ОПУБЛИКОВАНИЕ
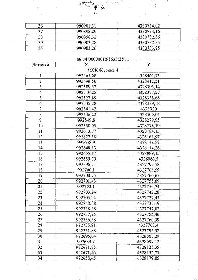
Приказ Департамента пространственного развития и архитектуры Ханты-Мансийского автономного округа - Югры от 13.01.2023 № 4-нп
"Об утверждении документации по планировке территории"
(Зарегистрирован 23.01.2023 № 6618)
Номер опубликования: 8601202301260001
Дата опубликования: 26.01.2023
Страница №56 из 60:
Увеличить