Официальное опубликование правовых актов
ОФИЦИАЛЬНОЕ ОПУБЛИКОВАНИЕ
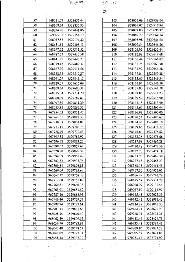
Приказ Департамента пространственного развития и архитектуры Ханты-Мансийского автономного округа - Югры от 22.12.2022 № 24-нп
"Об утверждении документации по планировке территории"
(Зарегистрирован 23.12.2022 № 6559)
Номер опубликования: 8601202212280008
Дата опубликования: 28.12.2022
Страница №24 из 63:
Увеличить