Официальное опубликование правовых актов
ОФИЦИАЛЬНОЕ ОПУБЛИКОВАНИЕ
Приказ Департамента пространственного развития и архитектуры Ханты-Мансийского автономного округа - Югры от 14.12.2022 № 20-нп
"Об утверждении документации по планировке территории"
(Зарегистрирован 16.12.2022 № 6534)
Номер опубликования: 8601202212210005
Дата опубликования: 21.12.2022
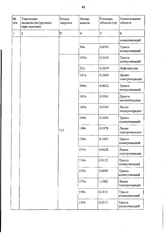
Страница №61 из 72:
Увеличить