Официальное опубликование правовых актов
ОФИЦИАЛЬНОЕ ОПУБЛИКОВАНИЕ
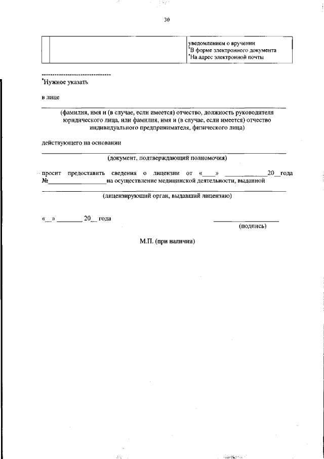
Приказ Департамента здравоохранения Ханты-Мансийского автономного округа – Югры от 28.09.2022 № 16-нп
"Об утверждении форм документов, используемых Департаментом здравоохранения Ханты-Мансийского автономного округа – Югры при лицензировании медицинской деятельности (за исключением медицинских организаций, подведомственных федеральным органам исполнительной власти)"
(Зарегистрирован 29.09.2022 № 6359)
Номер опубликования: 8601202210040005
Дата опубликования: 04.10.2022
Страница №30 из 39:
Увеличить