Официальное опубликование правовых актов
ОФИЦИАЛЬНОЕ ОПУБЛИКОВАНИЕ
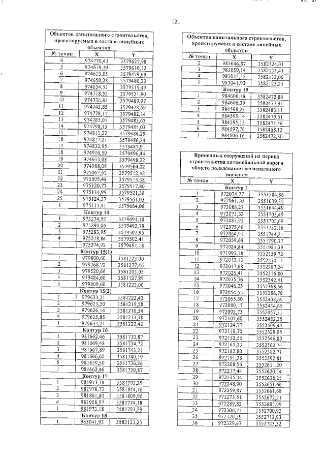
Приказ Департамента пространственного развития и архитектуры Ханты-Мансийского автономного округа - Югры от 21.07.2022 № 1-нп
"О внесении изменений в приказ Департамента строительства Ханты-Мансийского автономного округа – Югры от 7 июля 2021 года № 14-нп "Об утверждении документации по планировке территории и внесении изменений в приказ Департамента строительства Ханты-Мансийского автономного округа – Югры от 24 января 2019 года № 2-нп "Об утверждении документации по планировке территории и внесении изменений в некоторые приказы Департамента строительства Ханты-Мансийского автономного округа – Югры"
(Зарегистрирован 27.07.2022 № 6260)
Номер опубликования: 8601202208010001
Дата опубликования: 01.08.2022
Страница №121 из 729:
Увеличить